为全面强化学院师生的网络安全防范意识,引导同学们规范网络行为,9月18日,畜牧兽医技术系于教学楼举办“维护国家网络安全”主题系列活动,以“理论宣讲+实践创作”双模式,为共建安全、健康、文明的校园网络环境筑牢屏障。
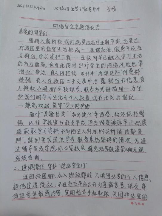
在教学楼A102教室举办的主题倡议书活动中,同学们以校园内外典型案例为切入点,围绕“钓鱼链接识别”“个人信息保护”“校园贷风险规避”“网络谣言辨别”展开讲解,用“身边事”警示“身边人”,打破同学们对网络风险的认知误区。学生代表宣读《畜牧兽医技术系网络安全倡议书》,从规范上网行为、保护个人信息、抵制网络谣言、维护网络秩序四个维度发出呼吁,提供贴合日常的网络安全行为指南。





与此同时,教学楼A101教室的手抄报创作活动有序推进。同学们围绕“网络钓鱼防范”“虚假购物诈骗解析”等主题,将知识与创意融合,用漫画还原诈骗流程、用流程图拆解防护步骤,还设计互动小栏目增强实用性。最终作品色彩鲜明、内容鲜活,让抽象的网络安全知识变得直观易懂。





此次系列活动通过“听、说、读、创”多维度参与,实现网络安全宣传教育的全覆盖,不仅锻炼学生能力,更推动“安全上网意识”向“规范上网行动”转化,营造出“知安全、懂安全、守安全”的校园氛围,为平安校园、文明校园建设注入新动能。